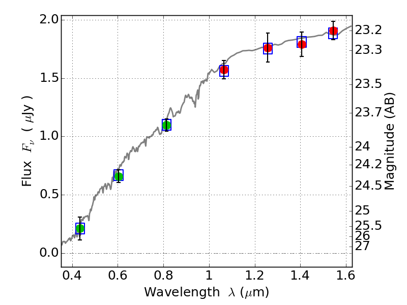
ABELL2163 IR detection object #272

Color images and BPZ results
Catalog: 272.cat
Black segments are analyzed here.   Roll mouse over color images to view segments.
Best viewed in a wide browser window (1200 pixels or more).   Download SED & P(z) plots to view larger versions.
In P(z) plots: Yellow lines mark the cluster redshift z = 0.203,  

Object #272   x,y = (2269, 5186)   RA, Dec = (16:15:50.376, -6:07:13.44) = (243.95990, -6.12040)   BPZ = 0.103 [0.034--0.652]   type = 3.80 (Ell4_A_0 - Ell5_A_0)   chisq2 = 0.01   ODDS = 0.60   z_cluster = 0.203