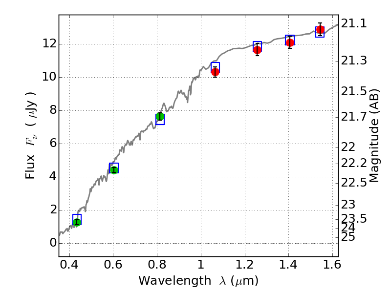
ABELL2163 IR detection object #2012

Color images and BPZ results
Catalog: 2012.cat
Black segments are analyzed here.   Roll mouse over color images to view segments.
Best viewed in a wide browser window (1200 pixels or more).   Download SED & P(z) plots to view larger versions.
In P(z) plots: Yellow lines mark the cluster redshift z = 0.203,  

Object #2012   x,y = (4324, 1931)   RA, Dec = (16:15:42.096, -6:10:28.92) = (243.92540, -6.17470)   BPZ = 0.104 [0.049--0.146]   type = 3.90 (Ell4_A_0 - Ell5_A_0)   chisq2 = 0.06   ODDS = 0.93   z_cluster = 0.203