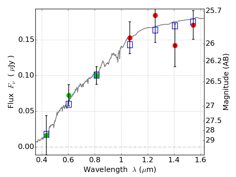
ABELL2163 IR detection object #1232

Color images and BPZ results
Catalog: 1232.cat
Black segments are analyzed here.   Roll mouse over color images to view segments.
Best viewed in a wide browser window (1200 pixels or more).   Download SED & P(z) plots to view larger versions.
In P(z) plots: Yellow lines mark the cluster redshift z = 0.203,  

Object #1232   x,y = (2630, 3499)   RA, Dec = (16:15:48.912, -6:08:54.96) = (243.95380, -6.14860)   BPZ = 0.138 [0.055--3.828]   type = 4.00 (Ell4_A_0)   chisq2 = 0.27   ODDS = 0.12   z_cluster = 0.203