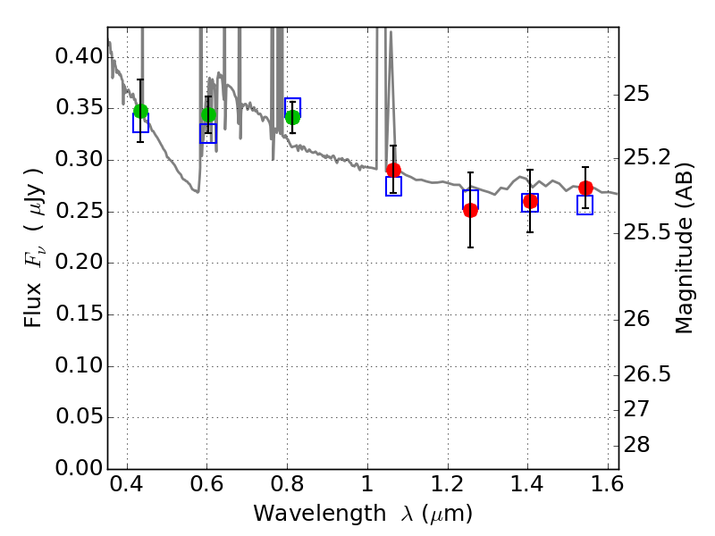
ABELL2163 IR detection object #1161

Color images and BPZ results
Catalog: 1161.cat
Black segments are analyzed here.   Roll mouse over color images to view segments.
Best viewed in a wide browser window (1200 pixels or more).   Download SED & P(z) plots to view larger versions.
In P(z) plots: Yellow lines mark the cluster redshift z = 0.203,  

Object #1161   x,y = (4665, 3582)   RA, Dec = (16:15:40.728, -6:08:49.92) = (243.91970, -6.14720)   BPZ = 0.567 [0.520--2.955]   type = 11.00 (SB11_A_0_l)   chisq2 = 0.24   ODDS = 0.66   z_cluster = 0.203