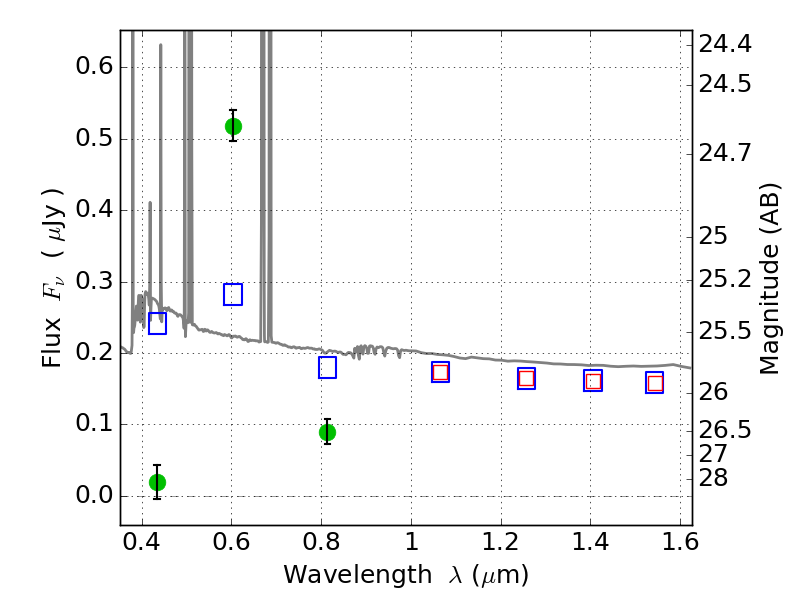
ABELL1763 ACS+IR detection object #5450

Color images and BPZ results
Catalog: 5450.cat
Black segments are analyzed here.   Roll mouse over color images to view segments.
Best viewed in a wide browser window (1200 pixels or more).   Download SED & P(z) plots to view larger versions.
In P(z) plots: Yellow lines mark the cluster redshift z = 0.228,  

Object #5450   x,y = (2230, 661)   RA, Dec = (13:35:20.232, 40:58:04.44) = (203.83430, 40.96790)   BPZ = 0.017 [0.010--0.038]   type = 11.00 (SB11_A_0_l)   chisq2 = 134.85   ODDS = 1.00   z_cluster = 0.228