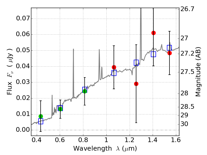
ABELL1763 IR detection object #617

Color images and BPZ results
Catalog: 617.cat
Black segments are analyzed here.   Roll mouse over color images to view segments.
Best viewed in a wide browser window (1200 pixels or more).   Download SED & P(z) plots to view larger versions.
In P(z) plots: Yellow lines mark the cluster redshift z = 0.228,  

Object #617   x,y = (2228, 2511)   RA, Dec = (13:35:20.232, 40:59:55.68) = (203.83430, 40.99880)   BPZ = 0.432 [0.151--4.421]   type = 6.90 (Scd_B10 - Sbc_B10)   chisq2 = 0.23   ODDS = 0.08   z_cluster = 0.228