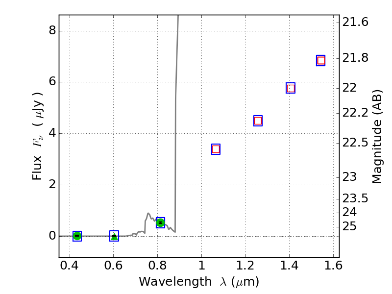
ABELL1763 ACS+IR detection object #6899

Color images and BPZ results
Catalog: 6899.cat
Black segments are analyzed here.   Roll mouse over color images to view segments.
Best viewed in a wide browser window (1200 pixels or more).   Download SED & P(z) plots to view larger versions.
In P(z) plots: Yellow lines mark the cluster redshift z = 0.228,  

Object #6899   x,y = (2628, 363)   RA, Dec = (13:35:18.120, 40:57:46.80) = (203.82550, 40.96300)   BPZ = 6.252 [5.841--8.968]   type = 6.00 (Sbc_B10)   chisq2 = 0.00   ODDS = 0.37   z_cluster = 0.228