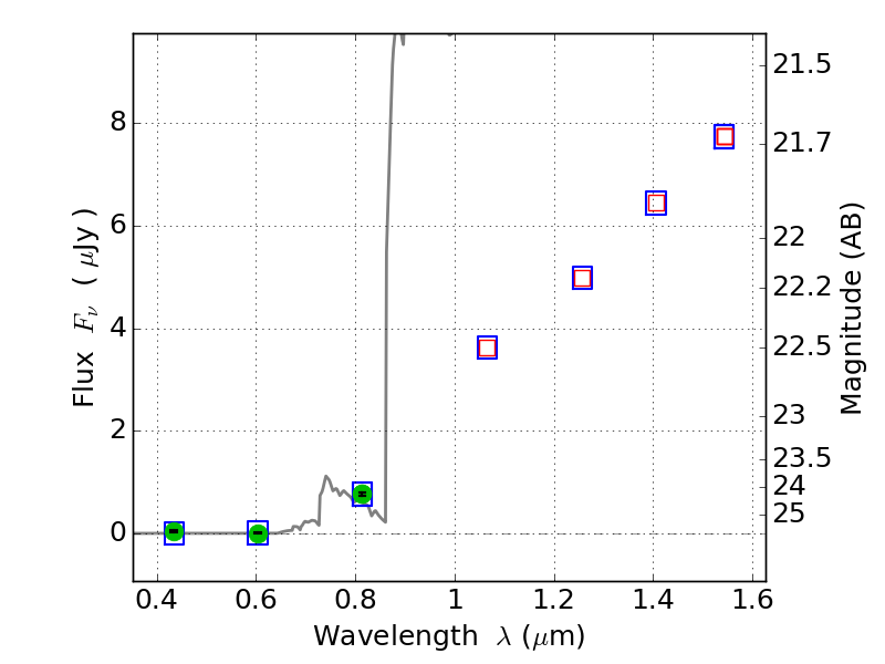
ABELL1763 ACS+IR detection object #3958

Color images and BPZ results
Catalog: 3958.cat
Black segments are analyzed here.   Roll mouse over color images to view segments.
Best viewed in a wide browser window (1200 pixels or more).   Download SED & P(z) plots to view larger versions.
In P(z) plots: Yellow lines mark the cluster redshift z = 0.228,  

Object #3958   x,y = (94, 2228)   RA, Dec = (13:35:31.536, 40:59:38.40) = (203.88140, 40.99400)   BPZ = 6.087 [5.800--8.831]   type = 5.70 (Sbc_B10 - ES0_B10)   chisq2 = 0.00   ODDS = 0.45   z_cluster = 0.228