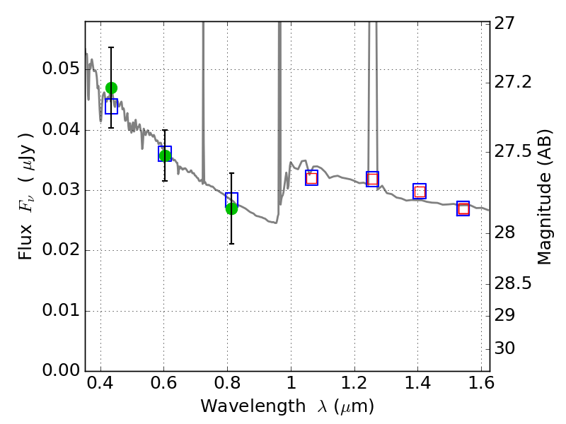
ABELL1763 ACS+IR detection object #2933

Color images and BPZ results
Catalog: 2933.cat
Black segments are analyzed here.   Roll mouse over color images to view segments.
Best viewed in a wide browser window (1200 pixels or more).   Download SED & P(z) plots to view larger versions.
In P(z) plots: Yellow lines mark the cluster redshift z = 0.228,  

Object #2933   x,y = (4869, 2754)   RA, Dec = (13:35:06.240, 41:00:10.08) = (203.77600, 41.00280)   BPZ = 1.593 [1.158--2.594]   type = 11.00 (SB11_A_0_l)   chisq2 = 0.29   ODDS = 0.19   z_cluster = 0.228