ABELL1763 ACS+IR detection object #6307

Color images and BPZ results
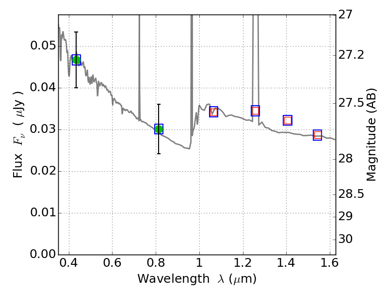
Catalog: 6307.cat
Black segments are analyzed here.   Roll mouse over color images to view segments.
Best viewed in a wide browser window (1200 pixels or more).   Download SED & P(z) plots to view larger versions.
In P(z) plots: Yellow lines mark the cluster redshift z = 0.228,  

Object #6307   x,y = (2885, 775)   RA, Dec = (13:35:17.016, 40:58:14.52) = (203.82090, 40.97070)   BPZ = 1.592 [0.857--2.693]   type = 11.00 (SB11_A_0_l)   chisq2 = 0.00   ODDS = 0.15   z_cluster = 0.228