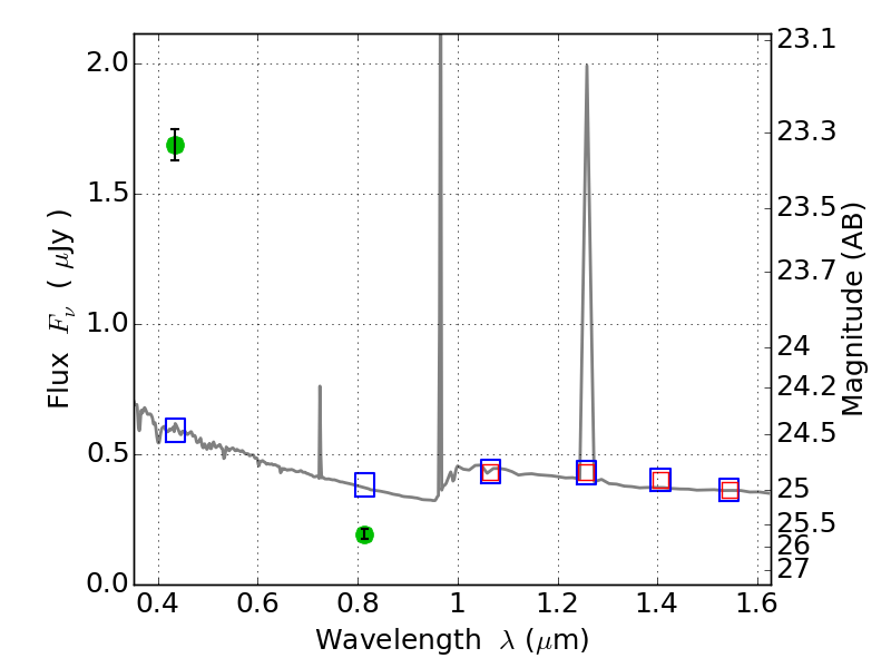
ABELL1763 ACS+IR detection object #5867

Color images and BPZ results
Catalog: 5867.cat
Black segments are analyzed here.   Roll mouse over color images to view segments.
Best viewed in a wide browser window (1200 pixels or more).   Download SED & P(z) plots to view larger versions.
In P(z) plots: Yellow lines mark the cluster redshift z = 0.228,  

Object #5867   x,y = (1324, 1309)   RA, Dec = (13:35:25.296, 40:58:46.56) = (203.85540, 40.97960)   BPZ = 1.593 [1.537--1.837]   type = 11.00 (SB11_A_0_l)   chisq2 = 254.60   ODDS = 0.90   z_cluster = 0.228