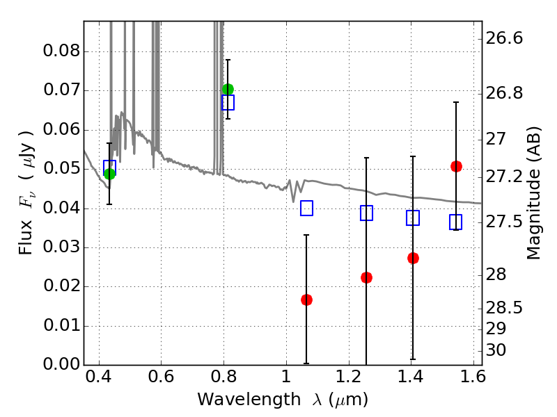
ABELL1763 ACS+IR detection object #4519

Color images and BPZ results
Catalog: 4519.cat
Black segments are analyzed here.   Roll mouse over color images to view segments.
Best viewed in a wide browser window (1200 pixels or more).   Download SED & P(z) plots to view larger versions.
In P(z) plots: Yellow lines mark the cluster redshift z = 0.228,  

Object #4519   x,y = (1835, 1981)   RA, Dec = (13:35:22.584, 40:59:26.88) = (203.84410, 40.99080)   BPZ = 0.176 [0.091--3.227]   type = 11.00 (SB11_A_0_l)   chisq2 = 1.07   ODDS = 0.28   z_cluster = 0.228