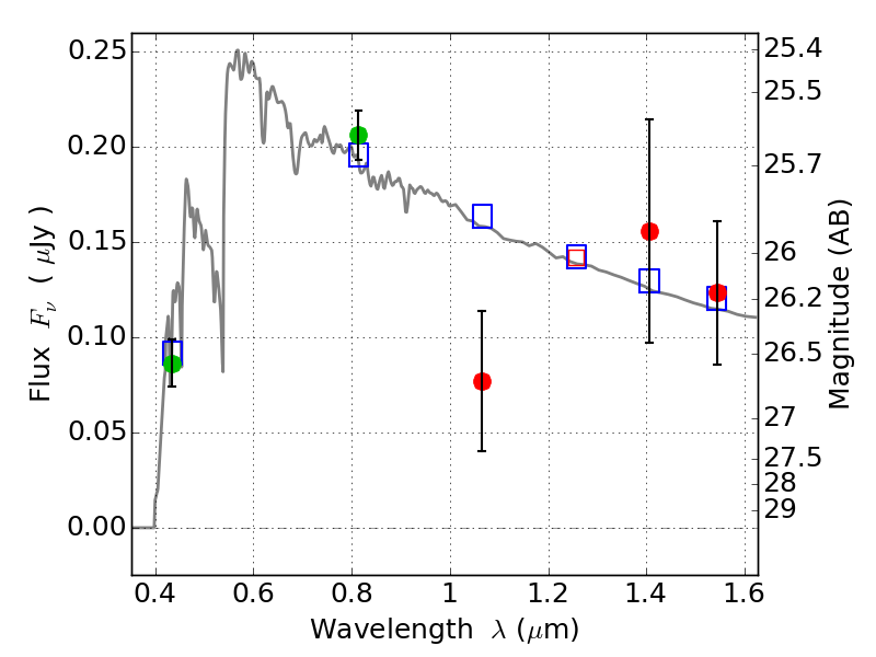
ABELL1763 ACS+IR detection object #3748

Color images and BPZ results
Catalog: 3748.cat
Black segments are analyzed here.   Roll mouse over color images to view segments.
Best viewed in a wide browser window (1200 pixels or more).   Download SED & P(z) plots to view larger versions.
In P(z) plots: Yellow lines mark the cluster redshift z = 0.228,  

Object #3748   x,y = (1729, 2514)   RA, Dec = (13:35:23.136, 40:59:58.92) = (203.84640, 40.99970)   BPZ = 3.433 [0.188--3.566]   type = 11.00 (SB11_A_0_l)   chisq2 = 2.76   ODDS = 0.76   z_cluster = 0.228