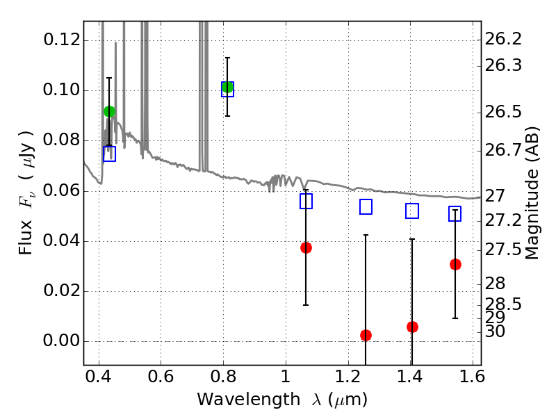
ABELL1763 ACS+IR detection object #3442

Color images and BPZ results
Catalog: 3442.cat
Black segments are analyzed here.   Roll mouse over color images to view segments.
Best viewed in a wide browser window (1200 pixels or more).   Download SED & P(z) plots to view larger versions.
In P(z) plots: Yellow lines mark the cluster redshift z = 0.228,  

Object #3442   x,y = (2196, 2756)   RA, Dec = (13:35:20.664, 41:00:13.32) = (203.83610, 41.00370)   BPZ = 0.109 [0.057--2.893]   type = 11.00 (SB11_A_0_l)   chisq2 = 1.98   ODDS = 0.43   z_cluster = 0.228