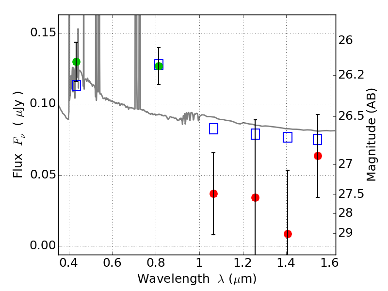
ABELL1763 ACS+IR detection object #3399

Color images and BPZ results
Catalog: 3399.cat
Black segments are analyzed here.   Roll mouse over color images to view segments.
Best viewed in a wide browser window (1200 pixels or more).   Download SED & P(z) plots to view larger versions.
In P(z) plots: Yellow lines mark the cluster redshift z = 0.228,  

Object #3399   x,y = (1875, 2740)   RA, Dec = (13:35:22.368, 41:00:12.24) = (203.84320, 41.00340)   BPZ = 0.079 [0.048--2.928]   type = 11.00 (SB11_A_0_l)   chisq2 = 2.15   ODDS = 0.22   z_cluster = 0.228