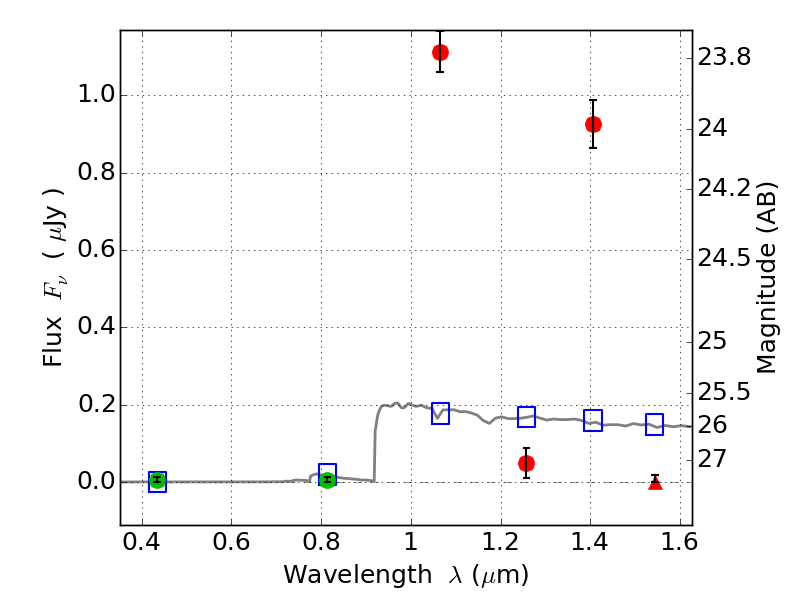
ABELL1763 ACS+IR detection object #3392

Color images and BPZ results
Catalog: 3392.cat
Black segments are analyzed here.   Roll mouse over color images to view segments.
Best viewed in a wide browser window (1200 pixels or more).   Download SED & P(z) plots to view larger versions.
In P(z) plots: Yellow lines mark the cluster redshift z = 0.228,  

Object #3392   x,y = (1632, 2495)   RA, Dec = (13:35:23.664, 40:59:57.48) = (203.84860, 40.99930)   BPZ = 6.556 [6.427--6.741]   type = 11.00 (SB11_A_0_l)   chisq2 = 168.70   ODDS = 1.00   z_cluster = 0.228