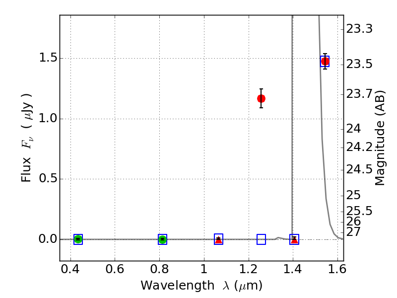
ABELL1763 ACS+IR detection object #3361

Color images and BPZ results
Catalog: 3361.cat
Black segments are analyzed here.   Roll mouse over color images to view segments.
Best viewed in a wide browser window (1200 pixels or more).   Download SED & P(z) plots to view larger versions.
In P(z) plots: Yellow lines mark the cluster redshift z = 0.228,  

Object #3361   x,y = (1625, 2484)   RA, Dec = (13:35:23.688, 40:59:57.12) = (203.84870, 40.99920)   BPZ = 12.675 [12.282--12.979]   type = 11.00 (SB11_A_0_l)   chisq2 = 29.05   ODDS = 1.00   z_cluster = 0.228