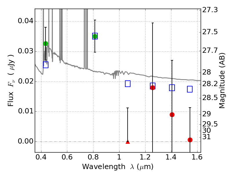
ABELL1763 ACS+IR detection object #3224

Color images and BPZ results
Catalog: 3224.cat
Black segments are analyzed here.   Roll mouse over color images to view segments.
Best viewed in a wide browser window (1200 pixels or more).   Download SED & P(z) plots to view larger versions.
In P(z) plots: Yellow lines mark the cluster redshift z = 0.228,  

Object #3224   x,y = (1511, 2556)   RA, Dec = (13:35:24.288, 41:00:01.44) = (203.85120, 41.00040)   BPZ = 0.119 [0.062--3.025]   type = 11.00 (SB11_A_0_l)   chisq2 = 2.27   ODDS = 0.23   z_cluster = 0.228