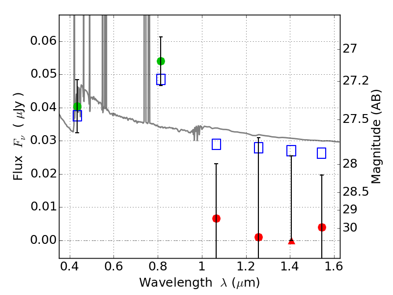
ABELL1763 ACS+IR detection object #2886

Color images and BPZ results
Catalog: 2886.cat
Black segments are analyzed here.   Roll mouse over color images to view segments.
Best viewed in a wide browser window (1200 pixels or more).   Download SED & P(z) plots to view larger versions.
In P(z) plots: Yellow lines mark the cluster redshift z = 0.228,  

Object #2886   x,y = (1778, 2764)   RA, Dec = (13:35:22.872, 41:00:13.68) = (203.84530, 41.00380)   BPZ = 0.133 [0.071--3.097]   type = 11.00 (SB11_A_0_l)   chisq2 = 2.06   ODDS = 0.37   z_cluster = 0.228