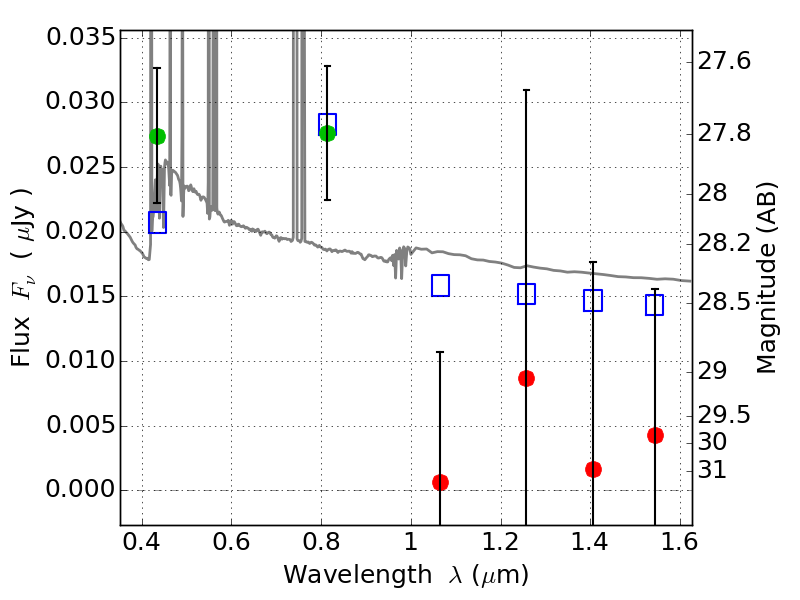
ABELL1763 ACS+IR detection object #2576

Color images and BPZ results
Catalog: 2576.cat
Black segments are analyzed here.   Roll mouse over color images to view segments.
Best viewed in a wide browser window (1200 pixels or more).   Download SED & P(z) plots to view larger versions.
In P(z) plots: Yellow lines mark the cluster redshift z = 0.228,  

Object #2576   x,y = (1938, 2870)   RA, Dec = (13:35:22.032, 41:00:20.16) = (203.84180, 41.00560)   BPZ = 0.127 [0.074--3.065]   type = 11.00 (SB11_A_0_l)   chisq2 = 1.73   ODDS = 0.10   z_cluster = 0.228