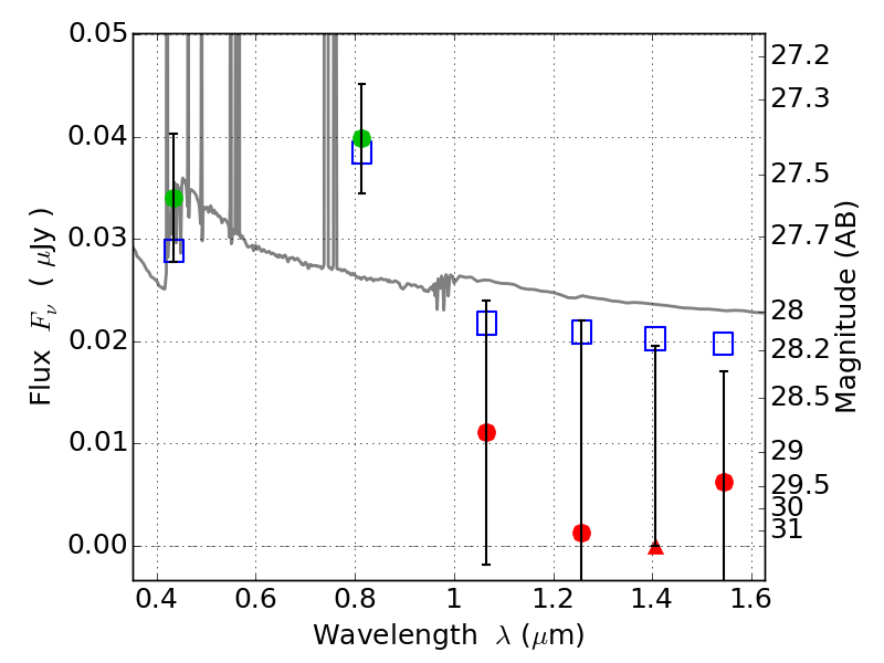
ABELL1763 ACS+IR detection object #2232

Color images and BPZ results
Catalog: 2232.cat
Black segments are analyzed here.   Roll mouse over color images to view segments.
Best viewed in a wide browser window (1200 pixels or more).   Download SED & P(z) plots to view larger versions.
In P(z) plots: Yellow lines mark the cluster redshift z = 0.228,  

Object #2232   x,y = (2255, 3167)   RA, Dec = (13:35:20.352, 41:00:37.80) = (203.83480, 41.01050)   BPZ = 0.126 [0.060--3.088]   type = 11.00 (SB11_A_0_l)   chisq2 = 1.58   ODDS = 0.33   z_cluster = 0.228