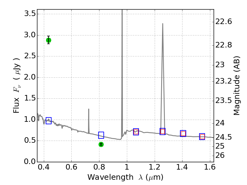
ABELL1763 ACS+IR detection object #1611

Color images and BPZ results
Catalog: 1611.cat
Black segments are analyzed here.   Roll mouse over color images to view segments.
Best viewed in a wide browser window (1200 pixels or more).   Download SED & P(z) plots to view larger versions.
In P(z) plots: Yellow lines mark the cluster redshift z = 0.228,  

Object #1611   x,y = (4393, 3328)   RA, Dec = (13:35:09.024, 41:00:47.52) = (203.78760, 41.01320)   BPZ = 1.592 [1.563--1.736]   type = 11.00 (SB11_A_0_l)   chisq2 = 303.00   ODDS = 0.95   z_cluster = 0.228