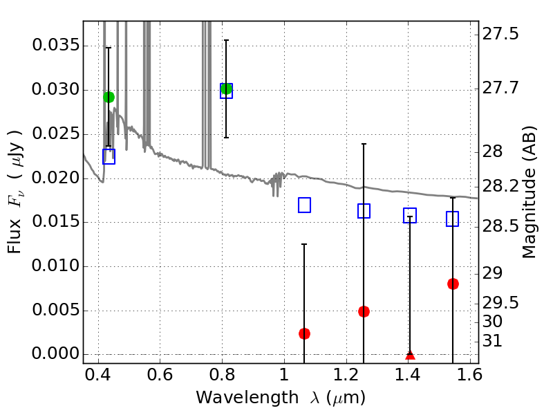
ABELL1763 ACS+IR detection object #1548

Color images and BPZ results
Catalog: 1548.cat
Black segments are analyzed here.   Roll mouse over color images to view segments.
Best viewed in a wide browser window (1200 pixels or more).   Download SED & P(z) plots to view larger versions.
In P(z) plots: Yellow lines mark the cluster redshift z = 0.228,  

Object #1548   x,y = (1614, 3324)   RA, Dec = (13:35:23.760, 41:00:47.52) = (203.84900, 41.01320)   BPZ = 0.126 [0.069--3.069]   type = 11.00 (SB11_A_0_l)   chisq2 = 1.74   ODDS = 0.14   z_cluster = 0.228