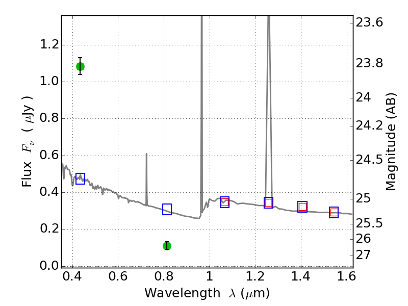
ABELL1763 ACS+IR detection object #1389

Color images and BPZ results
Catalog: 1389.cat
Black segments are analyzed here.   Roll mouse over color images to view segments.
Best viewed in a wide browser window (1200 pixels or more).   Download SED & P(z) plots to view larger versions.
In P(z) plots: Yellow lines mark the cluster redshift z = 0.228,  

Object #1389   x,y = (4416, 3313)   RA, Dec = (13:35:08.904, 41:00:46.80) = (203.78710, 41.01300)   BPZ = 1.593 [1.501--1.970]   type = 11.00 (SB11_A_0_l)   chisq2 = 148.90   ODDS = 0.81   z_cluster = 0.228