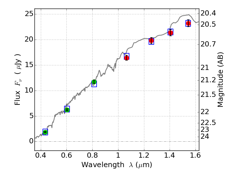
ABELL1758 IR detection object #866

Color images and BPZ results
Catalog: 866.cat
Black segments are analyzed here.   Roll mouse over color images to view segments.
Best viewed in a wide browser window (1200 pixels or more).   Download SED & P(z) plots to view larger versions.
In P(z) plots: Yellow lines mark the cluster redshift z = 0.280,  

Object #866   x,y = (4632, 4018)   RA, Dec = (13:32:41.016, 50:33:04.32) = (203.17090, 50.55120)   BPZ = 0.132 [0.085--0.167]   type = 4.40 (Ell4_A_0 - ES0_B10)   chisq2 = 0.03   ODDS = 0.97   z_cluster = 0.280