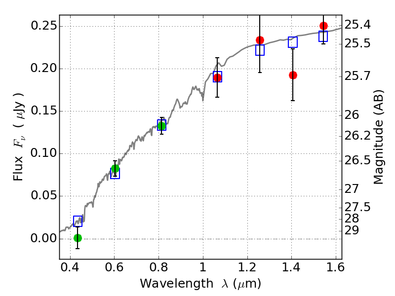
ABELL1758 IR detection object #758

Color images and BPZ results
Catalog: 758.cat
Black segments are analyzed here.   Roll mouse over color images to view segments.
Best viewed in a wide browser window (1200 pixels or more).   Download SED & P(z) plots to view larger versions.
In P(z) plots: Yellow lines mark the cluster redshift z = 0.280,  

Object #758   x,y = (4679, 4149)   RA, Dec = (13:32:40.728, 50:33:12.24) = (203.16970, 50.55340)   BPZ = 0.170 [0.073--4.121]   type = 4.00 (Ell4_A_0)   chisq2 = 0.65   ODDS = 0.27   z_cluster = 0.280