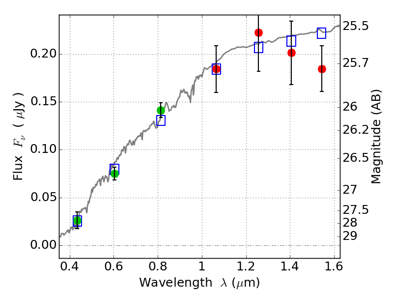
ABELL1758 IR detection object #713

Color images and BPZ results
Catalog: 713.cat
Black segments are analyzed here.   Roll mouse over color images to view segments.
Best viewed in a wide browser window (1200 pixels or more).   Download SED & P(z) plots to view larger versions.
In P(z) plots: Yellow lines mark the cluster redshift z = 0.280,  

Object #713   x,y = (6067, 4508)   RA, Dec = (13:32:31.992, 50:33:33.48) = (203.13330, 50.55930)   BPZ = 0.106 [0.045--3.840]   type = 4.00 (Ell4_A_0)   chisq2 = 0.62   ODDS = 0.19   z_cluster = 0.280