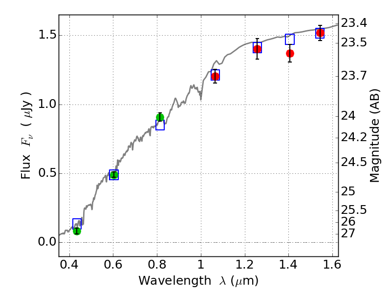
ABELL1758 IR detection object #635

Color images and BPZ results
Catalog: 635.cat
Black segments are analyzed here.   Roll mouse over color images to view segments.
Best viewed in a wide browser window (1200 pixels or more).   Download SED & P(z) plots to view larger versions.
In P(z) plots: Yellow lines mark the cluster redshift z = 0.280,  

Object #635   x,y = (4498, 4479)   RA, Dec = (13:32:41.856, 50:33:32.04) = (203.17440, 50.55890)   BPZ = 0.169 [0.092--0.214]   type = 4.00 (Ell4_A_0)   chisq2 = 0.32   ODDS = 0.85   z_cluster = 0.280