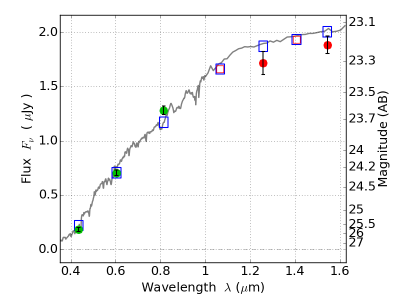
ABELL1758 IR detection object #55

Color images and BPZ results
Catalog: 55.cat
Black segments are analyzed here.   Roll mouse over color images to view segments.
Best viewed in a wide browser window (1200 pixels or more).   Download SED & P(z) plots to view larger versions.
In P(z) plots: Yellow lines mark the cluster redshift z = 0.280,  

Object #55   x,y = (5905, 5578)   RA, Dec = (13:32:33.000, 50:34:37.92) = (203.13750, 50.57720)   BPZ = 0.116 [0.067--0.163]   type = 4.00 (Ell4_A_0)   chisq2 = 1.05   ODDS = 0.94   z_cluster = 0.280