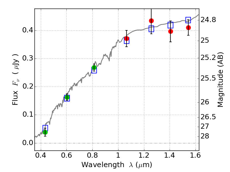
ABELL1758 IR detection object #395

Color images and BPZ results
Catalog: 395.cat
Black segments are analyzed here.   Roll mouse over color images to view segments.
Best viewed in a wide browser window (1200 pixels or more).   Download SED & P(z) plots to view larger versions.
In P(z) plots: Yellow lines mark the cluster redshift z = 0.280,  

Object #395   x,y = (5325, 4981)   RA, Dec = (13:32:36.648, 50:34:01.92) = (203.15270, 50.56720)   BPZ = 0.092 [0.032--3.629]   type = 4.00 (Ell4_A_0)   chisq2 = 0.31   ODDS = 0.68   z_cluster = 0.280