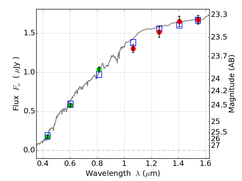
ABELL1758 IR detection object #235

Color images and BPZ results
Catalog: 235.cat
Black segments are analyzed here.   Roll mouse over color images to view segments.
Best viewed in a wide browser window (1200 pixels or more).   Download SED & P(z) plots to view larger versions.
In P(z) plots: Yellow lines mark the cluster redshift z = 0.280,  

Object #235   x,y = (4056, 5256)   RA, Dec = (13:32:44.640, 50:34:18.48) = (203.18600, 50.57180)   BPZ = 0.108 [0.053--0.158]   type = 3.90 (Ell4_A_0 - Ell5_A_0)   chisq2 = 0.22   ODDS = 0.91   z_cluster = 0.280