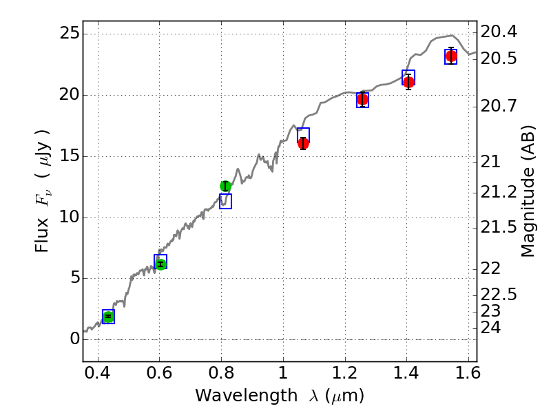
ABELL1758 IR detection object #192

Color images and BPZ results
Catalog: 192.cat
Black segments are analyzed here.   Roll mouse over color images to view segments.
Best viewed in a wide browser window (1200 pixels or more).   Download SED & P(z) plots to view larger versions.
In P(z) plots: Yellow lines mark the cluster redshift z = 0.280,  

Object #192   x,y = (5378, 5289)   RA, Dec = (13:32:36.312, 50:34:20.64) = (203.15130, 50.57240)   BPZ = 0.127 [0.080--0.174]   type = 4.40 (Ell4_A_0 - ES0_B10)   chisq2 = 0.22   ODDS = 0.95   z_cluster = 0.280