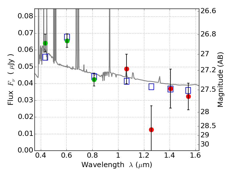
ABELL1758 IR detection object #171

Color images and BPZ results
Catalog: 171.cat
Black segments are analyzed here.   Roll mouse over color images to view segments.
Best viewed in a wide browser window (1200 pixels or more).   Download SED & P(z) plots to view larger versions.
In P(z) plots: Yellow lines mark the cluster redshift z = 0.280,  

Object #171   x,y = (5258, 5358)   RA, Dec = (13:32:37.056, 50:34:24.60) = (203.15440, 50.57350)   BPZ = 0.035 [0.016--2.761]   type = 10.90 (SB11_A_0_l - SB3_B10)   chisq2 = 1.34   ODDS = 0.27   z_cluster = 0.280