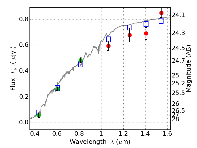
ABELL1758 IR detection object #1674

Color images and BPZ results
Catalog: 1674.cat
Black segments are analyzed here.   Roll mouse over color images to view segments.
Best viewed in a wide browser window (1200 pixels or more).   Download SED & P(z) plots to view larger versions.
In P(z) plots: Yellow lines mark the cluster redshift z = 0.280,  

Object #1674   x,y = (1758, 2543)   RA, Dec = (13:32:59.112, 50:31:35.76) = (203.24630, 50.52660)   BPZ = 0.139 [0.075--4.057]   type = 4.00 (Ell4_A_0)   chisq2 = 0.92   ODDS = 0.22   z_cluster = 0.280