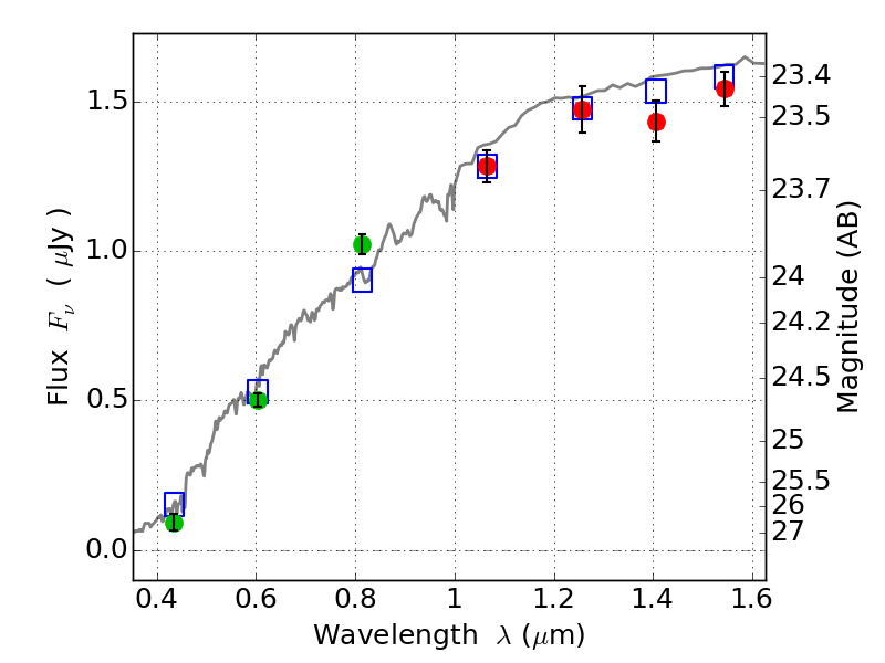
ABELL1758 IR detection object #1558

Color images and BPZ results
Catalog: 1558.cat
Black segments are analyzed here.   Roll mouse over color images to view segments.
Best viewed in a wide browser window (1200 pixels or more).   Download SED & P(z) plots to view larger versions.
In P(z) plots: Yellow lines mark the cluster redshift z = 0.280,  

Object #1558   x,y = (2197, 2741)   RA, Dec = (13:32:56.352, 50:31:47.64) = (203.23480, 50.52990)   BPZ = 0.148 [0.088--4.161]   type = 4.00 (Ell4_A_0)   chisq2 = 0.58   ODDS = 0.39   z_cluster = 0.280