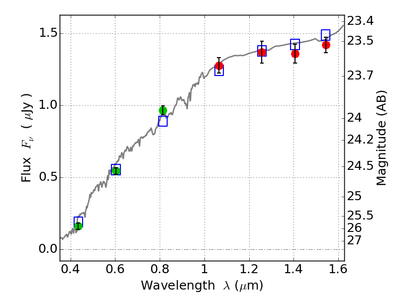
ABELL1758 IR detection object #93

Color images and BPZ results
Catalog: 93.cat
Black segments are analyzed here.   Roll mouse over color images to view segments.
Best viewed in a wide browser window (1200 pixels or more).   Download SED & P(z) plots to view larger versions.
In P(z) plots: Yellow lines mark the cluster redshift z = 0.280,  

Object #93   x,y = (4786, 5532)   RA, Dec = (13:32:40.056, 50:34:35.04) = (203.16690, 50.57640)   BPZ = 0.080 [0.035--0.124]   type = 4.00 (Ell4_A_0)   chisq2 = 0.35   ODDS = 0.95   z_cluster = 0.280