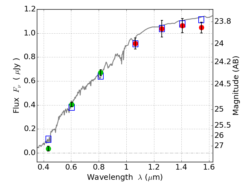
ABELL1758 IR detection object #501

Color images and BPZ results
Catalog: 501.cat
Black segments are analyzed here.   Roll mouse over color images to view segments.
Best viewed in a wide browser window (1200 pixels or more).   Download SED & P(z) plots to view larger versions.
In P(z) plots: Yellow lines mark the cluster redshift z = 0.280,  

Object #501   x,y = (4267, 4755)   RA, Dec = (13:32:43.320, 50:33:48.60) = (203.18050, 50.56350)   BPZ = 0.134 [0.090--4.011]   type = 4.00 (Ell4_A_0)   chisq2 = 0.46   ODDS = 0.27   z_cluster = 0.280