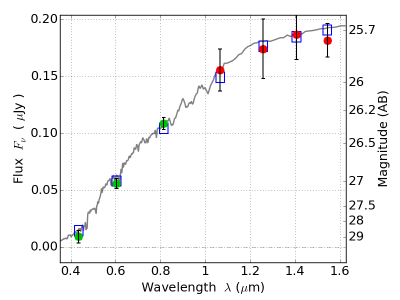
ABELL1758 IR detection object #262

Color images and BPZ results
Catalog: 262.cat
Black segments are analyzed here.   Roll mouse over color images to view segments.
Best viewed in a wide browser window (1200 pixels or more).   Download SED & P(z) plots to view larger versions.
In P(z) plots: Yellow lines mark the cluster redshift z = 0.280,  

Object #262   x,y = (3721, 5176)   RA, Dec = (13:32:46.752, 50:34:13.80) = (203.19480, 50.57050)   BPZ = 0.195 [0.099--4.075]   type = 4.00 (Ell4_A_0)   chisq2 = 0.14   ODDS = 0.64   z_cluster = 0.280