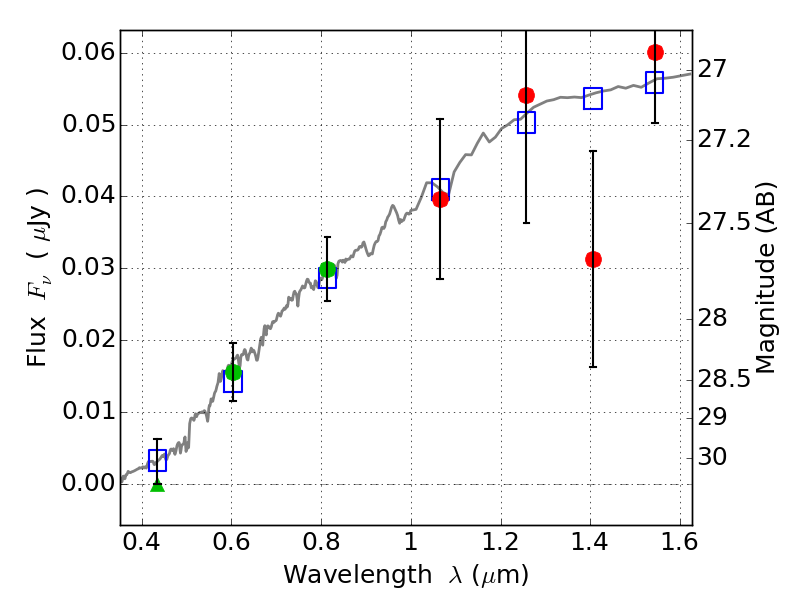
ABELL1758 IR detection object #2112

Color images and BPZ results
Catalog: 2112.cat
Black segments are analyzed here.   Roll mouse over color images to view segments.
Best viewed in a wide browser window (1200 pixels or more).   Download SED & P(z) plots to view larger versions.
In P(z) plots: Yellow lines mark the cluster redshift z = 0.280,  

Object #2112   x,y = (2341, 1745)   RA, Dec = (13:32:55.440, 50:30:47.88) = (203.23100, 50.51330)   BPZ = 0.273 [0.109--4.372]   type = 4.00 (Ell4_A_0)   chisq2 = 0.66   ODDS = 0.12   z_cluster = 0.280