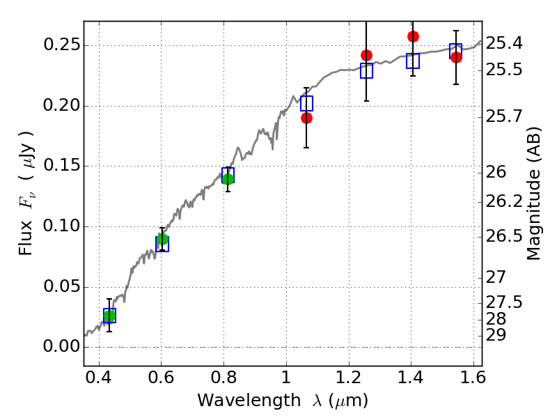
ABELL1758 IR detection object #2100

Color images and BPZ results
Catalog: 2100.cat
Black segments are analyzed here.   Roll mouse over color images to view segments.
Best viewed in a wide browser window (1200 pixels or more).   Download SED & P(z) plots to view larger versions.
In P(z) plots: Yellow lines mark the cluster redshift z = 0.280,  

Object #2100   x,y = (2261, 1769)   RA, Dec = (13:32:55.944, 50:30:49.32) = (203.23310, 50.51370)   BPZ = 0.124 [0.041--3.636]   type = 4.00 (Ell4_A_0)   chisq2 = 0.18   ODDS = 0.24   z_cluster = 0.280