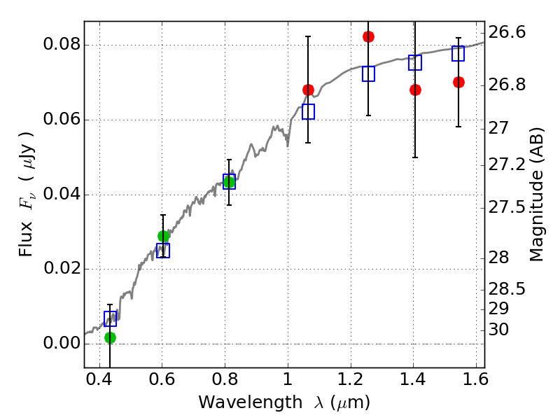
ABELL1758 IR detection object #1443

Color images and BPZ results
Catalog: 1443.cat
Black segments are analyzed here.   Roll mouse over color images to view segments.
Best viewed in a wide browser window (1200 pixels or more).   Download SED & P(z) plots to view larger versions.
In P(z) plots: Yellow lines mark the cluster redshift z = 0.280,  

Object #1443   x,y = (2116, 2947)   RA, Dec = (13:32:56.856, 50:31:59.88) = (203.23690, 50.53330)   BPZ = 0.170 [0.067--4.156]   type = 4.00 (Ell4_A_0)   chisq2 = 0.34   ODDS = 0.12   z_cluster = 0.280