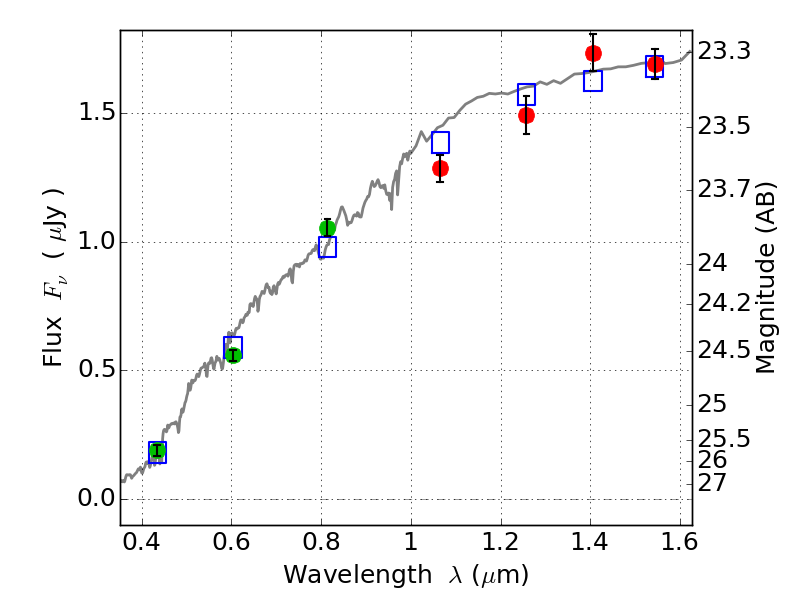
ABELL1758 IR detection object #1218

Color images and BPZ results
Catalog: 1218.cat
Black segments are analyzed here.   Roll mouse over color images to view segments.
Best viewed in a wide browser window (1200 pixels or more).   Download SED & P(z) plots to view larger versions.
In P(z) plots: Yellow lines mark the cluster redshift z = 0.280,  

Object #1218   x,y = (3027, 3379)   RA, Dec = (13:32:51.120, 50:32:25.80) = (203.21300, 50.54050)   BPZ = 0.122 [0.046--0.459]   type = 4.00 (Ell4_A_0)   chisq2 = 0.54   ODDS = 0.68   z_cluster = 0.280