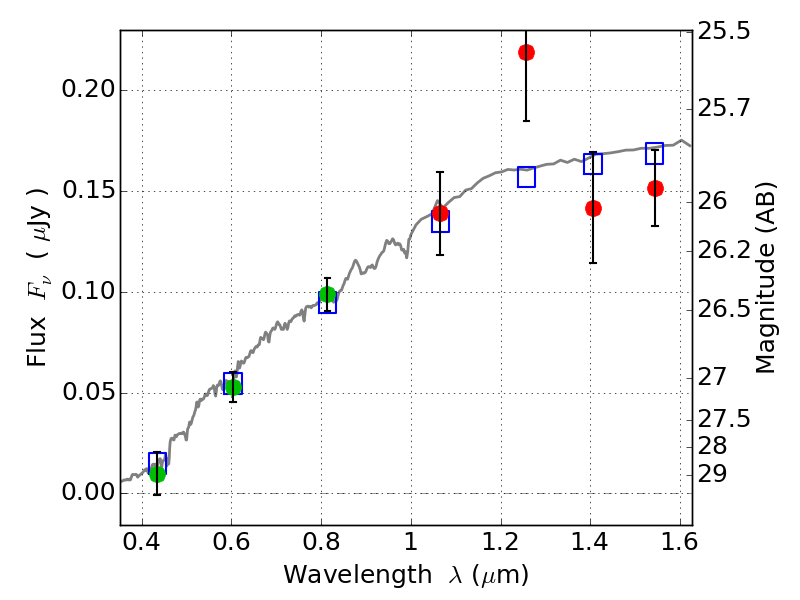
ABELL1758 IR detection object #1084

Color images and BPZ results
Catalog: 1084.cat
Black segments are analyzed here.   Roll mouse over color images to view segments.
Best viewed in a wide browser window (1200 pixels or more).   Download SED & P(z) plots to view larger versions.
In P(z) plots: Yellow lines mark the cluster redshift z = 0.280,  

Object #1084   x,y = (5494, 3729)   RA, Dec = (13:32:35.592, 50:32:47.04) = (203.14830, 50.54640)   BPZ = 0.165 [0.058--4.110]   type = 4.00 (Ell4_A_0)   chisq2 = 1.07   ODDS = 0.31   z_cluster = 0.280