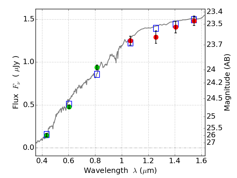
ABELL1758 IR detection object #1072

Color images and BPZ results
Catalog: 1072.cat
Black segments are analyzed here.   Roll mouse over color images to view segments.
Best viewed in a wide browser window (1200 pixels or more).   Download SED & P(z) plots to view larger versions.
In P(z) plots: Yellow lines mark the cluster redshift z = 0.280,  

Object #1072   x,y = (4414, 3740)   RA, Dec = (13:32:42.384, 50:32:47.76) = (203.17660, 50.54660)   BPZ = 0.124 [0.049--0.171]   type = 3.70 (Ell4_A_0 - Ell5_A_0)   chisq2 = 0.38   ODDS = 0.82   z_cluster = 0.280