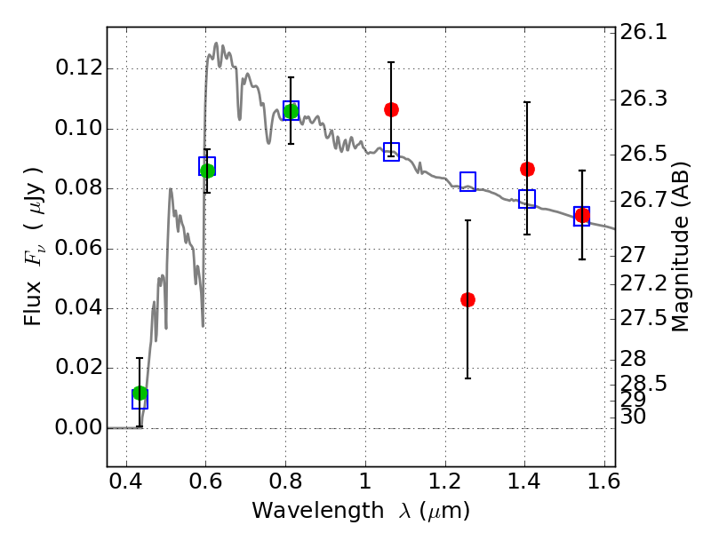
ABELL1300 ACS+IR detection object #3026
Color images and BPZ results
Catalog: 3026.cat
Black segments are analyzed here. Roll mouse over color images to view segments.
Best viewed in a wide browser window (1200 pixels or more). Download SED & P(z) plots to view larger versions.
In P(z) plots: Yellow lines mark the cluster redshift z = 0.307,
Object #3026 x,y = (2103, 2278) RA, Dec = (11:31:56.040, -19:55:36.12) = (172.98350, -19.92670) BPZ = 3.895 [3.609--4.114] type = 10.70 (SB11_A_0_l - SB3_B10) chisq2 = 0.43 ODDS = 0.87 z_cluster = 0.307